Function Name:
dist
Function Signature:
dist(p, q)
Parameters:
p – Point one.
q – Point Two.
The two points should be of the same dimensions.
Overview:
- The dist() function of Python math module finds the Euclidean distance between two points.
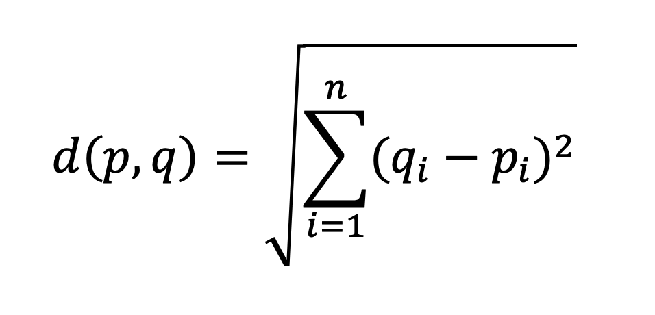
- Euclidean distance between the two points is given by

Application of distance in clustering:
Clustering is an unsupervised learning technique that groups data based on the distance between two data points. Euclidean distance is one of the distance metrics that is used in clustering techniques. The K-means clustering algorithm uses Euclidean distance to calculate the distance between each point to the centroid of the cluster. The dist module of scipy also has a method euclidean() that finds the Euclidean distance between two points.
Example:
|
# Example Python program to find the Euclidean distance between two # points import math
# Define point1 point1 = (2, 2)
# Define point2 point2 = (4, 8)
# Find the Euclidean distance euclidean_distance = math.dist(point1, point2)
# Print the Euclidean distance print("The Euclidean distance between point1(%s) and point2(%s):"%(point1, point2)) print(euclidean_distance) |
Output:
|
The Euclidean distance between point1((2, 2)) and point2((4, 8)): 6.324555320336759 |